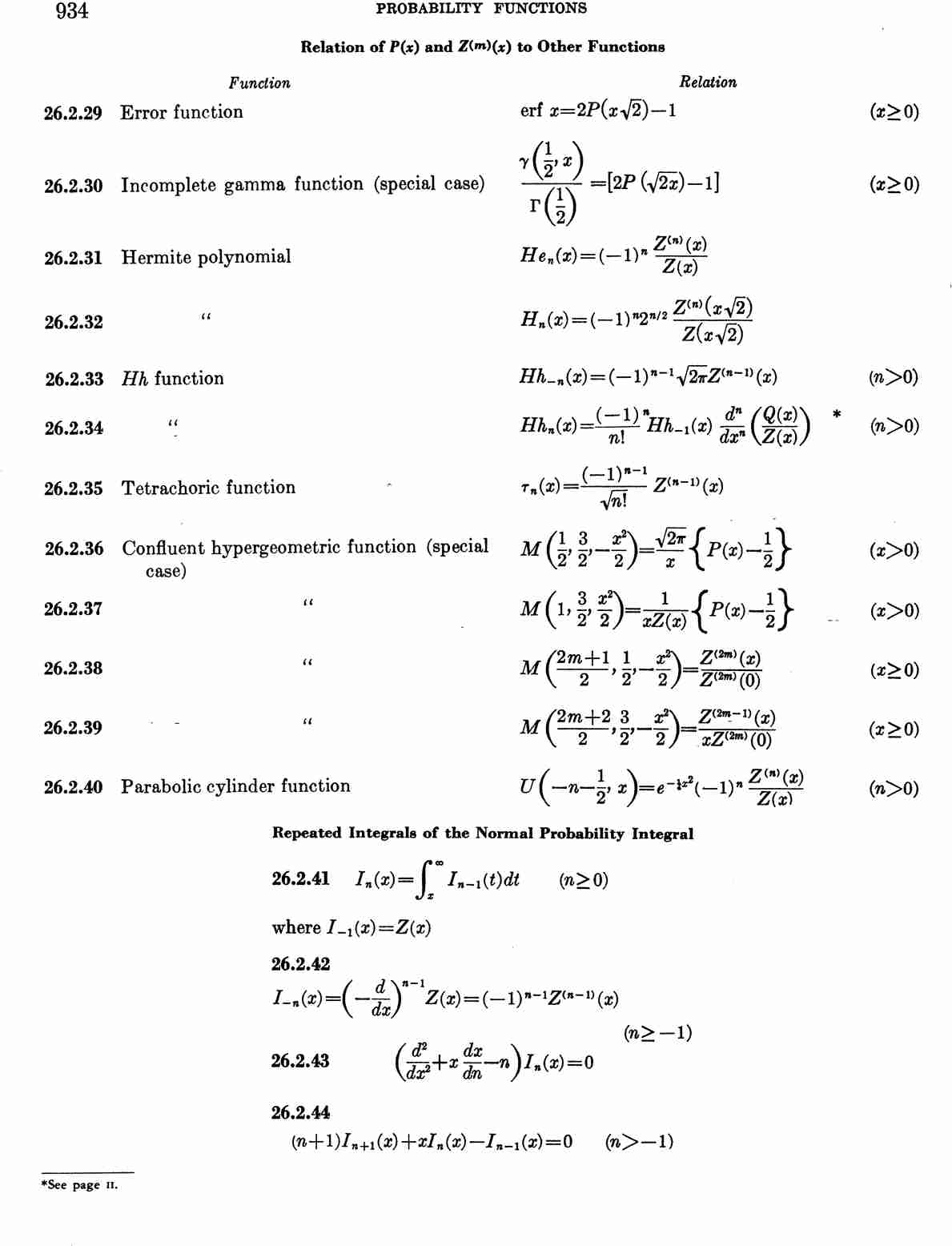
<< To page 933 Table of Contents Subject Index To page 935 >>

image of page 934