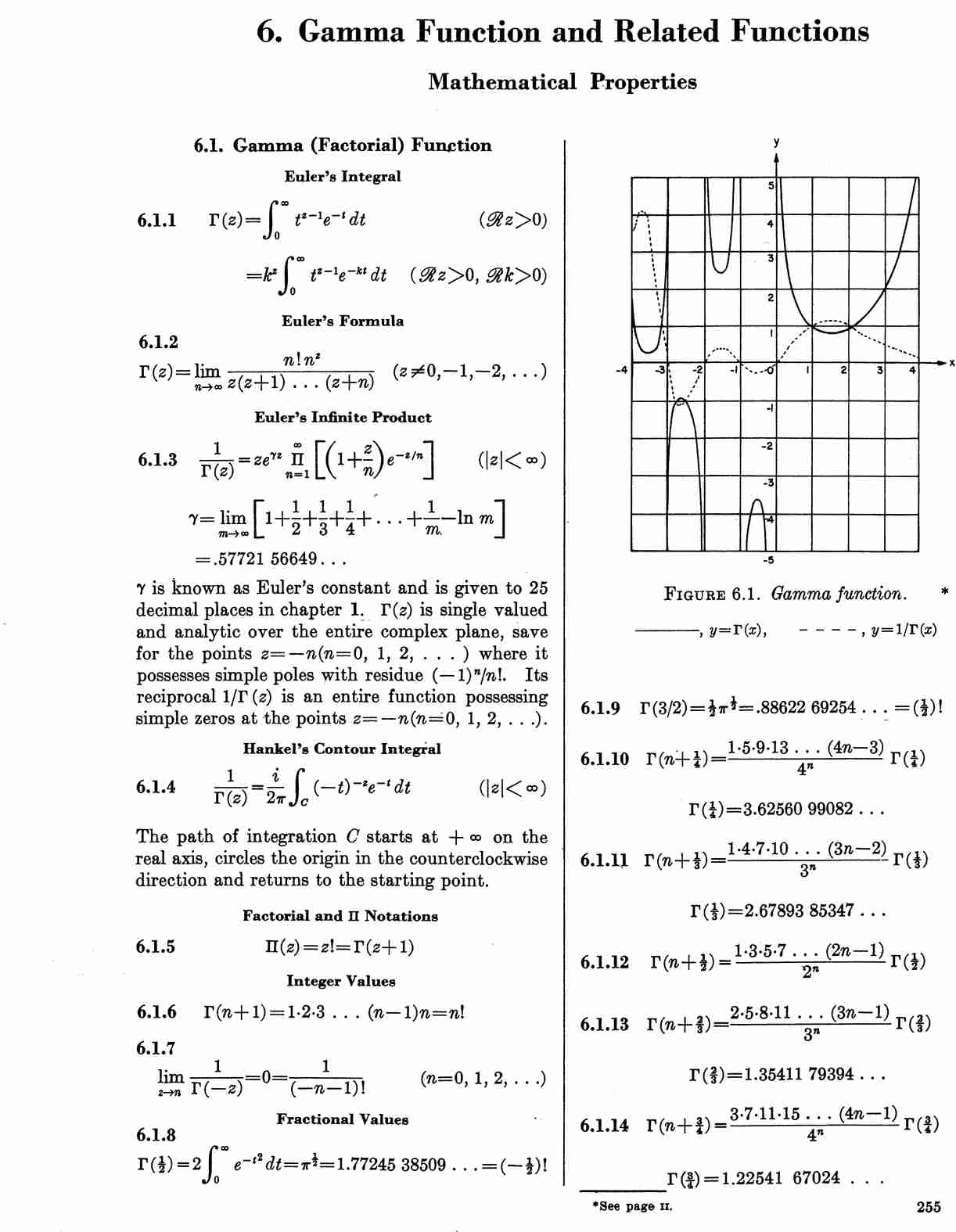
<< To page 253 Table of Contents Subject Index To page 256 >>

image of page 255